![]() |
| ¡ã ÁÖ¿ä ½ÇÇè °á°ú. <Á¦°ø=º¸°Çº¹ÁöºÎ> |
[¾ÆÀ¯°æÁ¦=¼½Â¾Æ ±âÀÚ] Áúº´°ü¸®º»ºÎ°¡ Çѱ¹ BÇü°£¿° ³»¼º ȯÀÚ¿¡ ´ëÇÑ È¿°úÀûÀÎ Ä¡·á¹ý °³¹ß¿¡ ¼º°øÇØ À̸ñÀÌ ÁýÁߵȴÙ.
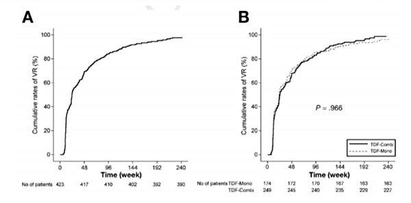
Áúº´°ü¸®º»ºÎ(º»ºÎÀå Á¤Àº°æ) ±¹¸³º¸°Ç¿¬±¸¿ø(¿øÀåÁ÷¹«´ë¸® Áö¿µ¹Ì)Àº ¿¬¼¼ÀÇ´ë ¼¼ºê¶õ½ºº´¿ø (¾È»óÈÆ ±³¼ö ¿¬±¸ÆÀ)°ú ÇÔ²² 2015³âºÎÅÍ ±¸ÃàµÈ ‘Çѱ¹ BÇü°£¿° Ä¡·áȯÀÚ ÄÚȣƮ’ Çмú¿¬±¸¿ë¿ª »ç¾÷À» ÅëÇØ BÇü°£¿°¿¡¼ °¡Àå Ä¡·á°¡ ¾î·Á¿î ´Ù¾àÁ¦³»¼º ȯÀÚ¸¦ Àå±â ÃßÀûÇÑ °á°ú, ‘Å׳ëÆ÷ºñ¾î’¸¸À¸·Îµµ BÇü°£¿° ¹ÙÀÌ·¯½º°¡ È¿°úÀûÀ¸·Î ¾ïÁ¦µÊÀ» È®ÀÎÇß´Ù°í ¹àÇû´Ù.
À̹ø ¿¬±¸´Â Ä¡·á°¡ ¾î·Á¿î ´Ù¾àÁ¦ ³»¼º ȯÀÚµéÀ» ´ë»óÀ¸·Î Å׳ëÆ÷ºñ¾î ±â¹Ý ´Üµ¶¿ä¹ý ¶Ç´Â º´ÇÕ¿ä¹ýÀÇ Àå±âÀû È¿°ú¸¦ º¸±âÀ§ÇÑ ±¹³» ÃÖÃÊÀÇ ´ë±Ô¸ð ÃßÀû°üÂû ¿¬±¸·Î¼, ´Üµ¶¿ä¹ý ¸¸À¸·Îµµ Ç×¹ÙÀÌ·¯½º ¾àÁ¦³»¼º Á¾·ù, Ç÷Áß ¹ÙÀÌ·¯½º ¼öÄ¡ µî¿¡ »ó°ü¾øÀÌ Àû¾îµµ 4³â ÀÌ»ó BÇü°£¿°¹ÙÀÌ·¯½º ¾ïÁ¦ È¿°ú°¡ À¯ÁöµÈ´Ù´Â »ç½ÇÀ» È®ÀÎÇß´Ù.
¿¬±¸Ã¥ÀÓÀÚÀÎ ¼¼ºê¶õ½ºº´¿ø ¼Òȱ⳻°ú ¾È»óÈÆ ±³¼ö´Â “Áö±Ý±îÁöÀÇ ´Üµ¶¿ä¹ý ¿¬±¸´Â ªÀº ±â°£¿¡¸¸ ½Ç½ÃµÅ Ä¡·á¿¡ Á÷Á¢ Àû¿ëÇϱ⠾î·Á¿ü´Âµ¥ À̹ø ¿¬±¸´Â Àå±â°£¿¡ °ÉÄ£ È¿°ú¸¦ Á¦½ÃÇÔÀ¸·Î½á ´ëÇѰ£ÇÐȸ BÇü°£¿° Ä¡·á °¡À̵å¶óÀÎ °³Á¤ÆÇ¿¡ ¹Ý¿µµÆÀ¸¸ç, À̸¦ ÅëÇØ Ä¡·á¹ý °áÁ¤¿¡ ¾î·Á¿òÀ» °Þ¾ú´ø ´Ù¾àÁ¦ ³»¼º ȯÀڵ鿡°Ô º¹¾àÀÇ Æí¸®¼ºÀ» Á¦°øÇÏ°í °æÁ¦Àû ºÎ´ãÀ» ´ú¾î ÁÖ°Ô µÇ¾ú´Ù. ÀÌ´Â ºÒÇÊ¿äÇÑ ÀÇ·áºñ ÁöÃâÀ» ¸·¾Æ ±¹°¡ÀûÀ¸·Îµµ ÀÇ·áºñ Àý°¨È¿°ú°¡ ±â´ëµÈ´Ù”°í ¸»Çß´Ù.
Å׳ëÆ÷ºñ¾î ´Üµ¶¿ä¹ýÀ¸·Îµµ º´ÇÕ¿ä¹ý°ú À¯»çÇÑ ¹ÙÀÌ·¯½º ¾ïÁ¦È¿°ú¸¦ Àå±â°£¿¡ °ÉÃÄ È®ÀÎÇÑ º» ¿¬±¸ °á°ú´Â ¼ÒȱâÁúȯ ºÐ¾ß »óÀ§ 10%³»¿¡ ¼ÓÇÏ´Â À¯¸í ±¹Á¦ÇмúÁöÀÎ Clinical Gastroenterology and Hepatology(ÇÇÀοëÁö¼ö:7.683) ÃÖ±Ù ¿Â¶óÀÎÆÇ¿¡ °ÔÀçµÆ°í 2019³â¿¡ ÃâÆÇÇÒ ¿¹Á¤ÀÌ´Ù.
ÇÑÆí Áúº´°ü¸®º»ºÎ¤ý±¹¸³º¸°Ç¿¬±¸¿øÀº ‘Çѱ¹ BÇü°£¿° Ä¡·áȯÀÚ ÄÚȣƮ ¿¬±¸(2019-2021³â)’ ÁÖ°ü¿¬±¸±â°üÀ¸·Î ¼±Á¤µÈ ¿¬¼¼´ëÇб³ ¼¼ºê¶õ½º º´¿ø°ú ÇâÈÄ 3³â°£ ÃÑ 13.2¾ï ¿ø ±Ô¸ðÀÇ Çмú¿¬±¸¿ë¿ª»ç¾÷ °è¾àÀ» ü°áÇÔÀ¸·Î½á ¿ì¸®³ª¶ó ¸¸¼º BÇü°£¿° ȯÀÚÀÇ Ä¡·áÇöȲ, Åõ¾àÆÐÅÏ, Ä¡·á¹ÝÀÀ ¹× È¿°úºÐ¼®, Ç×¹ÙÀÌ·¯½ºÁ¦ ³»¼º Ư¼º ºÐ¼® µî BÇü°£¿° Áß°³¿¬±¸ Ȱ¼ºÈ¸¦ Áö¼ÓÀûÀ¸·Î µµ¸ðÇÒ °èȹÀÌ´Ù.
¼½Â¾Æ ±âÀÚ nellstay87@naver.com
<ÀúÀÛ±ÇÀÚ © AU°æÁ¦, ¹«´Ü ÀüÀç ¹× Àç¹èÆ÷ ±ÝÁö>


[¾ÆÀ¯°æÁ¦_Àç°ÇÃà] ¼öÁö»ï¼º2Â÷ Àç°ÇÃà, ½Ã°øÀÚ Çö¼³¿¡ 5°³ »ç ¡®¿îÁý¡¯
